©本文由IYU编辑小组编辑编译 仅作科普 欢迎分享  
你是胖子还是瘦子?
肥胖问题既是日常生活中被提到较多的,又是目前全球性的公共健康问题。
以世卫组织(WHO)最新的数据显示,儿童和青少年肥胖的全球流行率从1975年男孩和女孩的0.9%和0.7%分别上升到2016年的7.8%和5.6%。
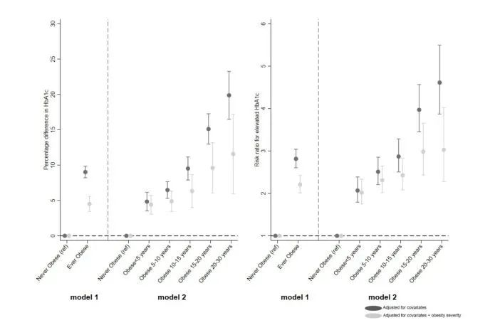
如果肥胖无关健康,那就随你呗,个人审美问题而已。但现实很残酷,肥胖和不少健康问题直接或间接挂钩,尤其是心血管疾病(CVD)相关的发病率、死亡率紧密关联。不过,仅从心脏的代谢风险来看,并不能完全说只要是个胖子,那就一定会出现心血管相关疾病的发生。因为有部分肥胖的人,他们的代谢是健康的。但我们千万别因为个体忽视问题所在。另一方面,心脏代谢风险异质性还与一个人肥胖的时间长度有关。有研究表明,现在年轻人一生中超重或肥胖风险比以往升高,因此全面了解肥胖持续时间对心脏代谢危险因素发展的影响至关重要。针对这个问题,英国剑桥大学运动与健康研究所的专家团队进行了一项研究,内容为:青少年时期(10-40岁)肥胖持续时间与心脏代谢风险增加之间的关系。这个研究成果发表在美国科学公共图书馆杂志PLOS Medicine上。研究人员使用了3个来自英国的全国性出生队列数据,分别是1946年英国健康与发展调查(NSHD)、1958年英国儿童发展研究(NCDS)和1970年英国队列研究(BCS70)。共纳入了20746名参与者,其中49.1%为男性。研究人员统计了参与者的BMI指数,尤其是10-40岁之间的BMI数据及心脏代谢疾病危险因素数据,并由此得出肥胖发病年龄、持续时间和累积肥胖严重程度。结果显示,总得说来,肥胖持续时间与中年后多种心脏代谢疾病风险增加有关:收缩压(SBP)和舒张压(DBP)、高密度脂蛋白胆固醇(HDL-C)和糖化血红蛋白(HbA1c)。

肥胖持续时间越长,所有心脏代谢疾病风险越强。其中,与肥胖持续时间相关性最强的是HbA1c:与从不肥胖的人相比,那些肥胖时间< 5年的人的HbA1c水平相对高5%,而那些肥胖时间在20-30年的人的HbA1c水平则高20%。当对肥胖严重程度进行调整时,SBP、DBP和HDL-c与肥胖持续时间的相关性大大减弱。然而,对于HbA1c,与肥胖持续时间的相关性持续存在,且与肥胖严重程度无关。

结合不久前,发表在《欧洲预防心脏病学杂志》上的52万人数据显示,运动不能完全抵消超重和肥胖对心脏健康造成的负面影响。减肥本身仍应是降低超重/肥胖者CVD风险的健康政策的主要目标。综上,少年发福及持续时间与成年后心脏疾病的发病风险密切相关。想要中年后有颗好心脏,记住,“健康的胖子”不存在,减肥和运动双管齐下才是胖子的最终出路!Duration of obesity exposure between ages 10 and 40 years and its relationship with cardiometabolic disease risk factors: A cohort study. https://doi.org/10.1371/journal.pmed.1003387